Search for tag: "intermediate algebra"

Math 101 4-Review Solutions 28-30

Solutions to Chapter 4 Review, numbers 28-30, for…

From  Online Learning Media 0 likes 30 plays 0  

Math 101 4-Review Solutions 25-27

Solutions to Chapter 4 Review, numbers 25-27, for…

From  Online Learning Media 0 likes 42 plays 0  

101 Math VoiceThread Intro

Introduction to VoiceThread. We go through the…

From  Online Learning Media 0 likes 3,004 plays 0  

Math 101 7-Review Solutions 28-36

Solutions to Chapter 7 Review, numbers 28-36, of…

From  Online Learning Media 0 likes 190 plays 0  

Math 101 7-Review Solutions 19-27

Solutions to Chapter 7 Review, numbers 19-27, of…

From  Online Learning Media 0 likes 138 plays 0  

Math 101 7-Review Solutions 7-18

Solutions to Chapter 7 Review, numbers 7-18, of…

From  Online Learning Media 0 likes 130 plays 0  

Math 101 7-Review Solutions 1-6

Solutions to Chapter 7 Review, numbers 1-6, of…

From  Online Learning Media 0 likes 129 plays 0  

Math 101 7-Mid Review Solutions 40

Solutions to Mid Chapter 7 Review, number 40, of…

From  Online Learning Media 0 likes 46 plays 0  

Math 101 7-Mid Review Solutions 34-39

Solutions to Mid Chapter 7 Review, numbers 34-39,…

From  Online Learning Media 0 likes 92 plays 0  

Math 101 7-Mid Review Solutions 28-33

Solutions to Mid Chapter 7 Review, numbers 28-33,…

From  Online Learning Media 0 likes 96 plays 0  

Math 101 7-Mid Review Solutions 19-27

Solutions to Mid Chapter 7 Review, numbers 19-27,…

From  Online Learning Media 0 likes 89 plays 0  

Math 101 7-Mid Review Solutions 13-18

Solutions to Mid Chapter 7 Review, numbers 13-18,…

From  Online Learning Media 0 likes 95 plays 0  

Math 101 7-Mid Review Solutions 7-12

Solutions to Mid Chapter 7 Review, numbers 7-12,…

From  Online Learning Media 0 likes 70 plays 0  

Math 101 7-Mid Review Solutions1-6

Solutions to Mid Chapter 7 Review, numbers 1-6,…

From  Online Learning Media 0 likes 82 plays 0  

Math 101 7-4 Solutions 25-36

Solutions to Section 7-4, numbers 25-36, of Math…

From  Online Learning Media 0 likes 83 plays 0  

Math 101 7-4 Solutions 13-24

Solutions to Section 7-4, numbers 13-24, of Math…

From  Online Learning Media 0 likes 67 plays 0  

Math 101 7-4 Solutions 1-12

Solutions to Section 7-4, numbers 1-12, of Math…

From  Online Learning Media 0 likes 76 plays 0  

Math 101 7-3 Solutions 16-18

Solutions to Section 7-3, numbers 16-18, of Math…

From  Online Learning Media 0 likes 74 plays 0  

Math 101 7-3 Solutions 10-15

Solutions to Section 7-3, numbers 10-15, of Math…

From  Online Learning Media 0 likes 123 plays 0  

Math 101 7-3 Solutions 4-9

Solutions to Section 7-3, numbers4-9, of Math…

From  Online Learning Media 0 likes 57 plays 0  

Math 101 7-3 Solutions1-3

Solutions to Section 7-3, numbers 1-3, of Math…

From  Online Learning Media 0 likes 63 plays 0  

Math 101 7-2 Solutions 40-45

Solutions to Section 7-2, numbers 40-45, of Math…

From  Online Learning Media 0 likes 59 plays 0  

Math 101 7-2 Solutions 31-39

Solutions to Section 7-2, numbers 31-39, of Math…

From  Online Learning Media 0 likes 70 plays 0  

Math 101 7-2 Solutions 22-30

Solutions to Section 7-2, numbers 22-30, of Math…

From  Online Learning Media 0 likes 47 plays 0  

Math 101 7-2 Solutions 16-21

Solutions to Section 7-2, numbers 16-21, of Math…

From  Online Learning Media 0 likes 51 plays 0  

Math 101 7-2 Solutions 7-15

Solutions to Section 7-2, numbers 7-15, of Math…

From  Online Learning Media 0 likes 46 plays 0  

Math 101 7-2 Solutions 1-6

Solutions to Section 7-2, numbers 1-6, of Math…

From  Online Learning Media 0 likes 38 plays 0  

Math 101 7-1 Solutions 30

Solutions to Section 7-1, number 30--the Exponent…

From  Online Learning Media 0 likes 21 plays 0  

Math 101 7-1 Solutions 13-29

Solutions to Section 7-1, numbers 13-29, of Math…

From  Online Learning Media 0 likes 31 plays 0  

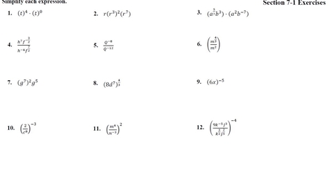
Math 101 7-1 Solutions 1-12

Solutions to Section 7-1, numbers 1-12, of Math…

From  Online Learning Media 0 likes 69 plays 0